Jannel's auction is now in progress and will end on 2 November. 

Henserbi's auction is now in progress and will end on 2 November. 

Niva's auction is now in progress and will end on 2 November. 

Smaug's auction is now in progress and will end on 9 November. 

× Bidding has ended on this item.

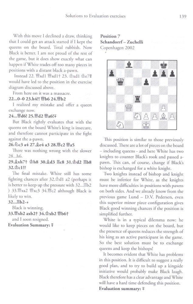
Esben Lund: Rook vs. Two Minor Pieces (2005) View Watchlist >

Preview
Starts In
Remaining Time
Current Price 5,00 € EUR
Current Price
5,00 € EUR
High Bidder
Your Maximum Bid Is 0,00 € EUR
LSAK will bid incrementally for you up to your maximum bid. Your maximum bid is kept a secret from other users.
€  EUR
Minimum Bid 5,00 € EUR
Or
Or
Payment Options

Seller Accepts PayPal

Bank Transfer or PayPal


Item # 2129066

Start Date
End Date

1 Watching

Bid/Purchase History >

Description

Esben Lund: Rook vs. Two Minor Pieces (2005).

Description from cover (See scans for contents): Many chess players shy away from positions with material imbalances, because they feel insecure in the face of their unclear nature. Traditional chess teaching does not spend much time on understanding such imbalances, but in this original book Esben Lund discusses one of the most common imbalances, where one player has a rook, and the other two minor pieces. The author begins with basics, covering theoretical foundations and basic endgames and then moves on to deep studies of two main lines from the Catalan Opening and the Scotch Opening. Neither of these lines has been studied in such depth before. Lunds lucid explanations carry the reader effortlessly through the book, with the reader's understanding increasing at the same pace as the complexity of the chess.

174 pages.

Publisher: Quality Chess Europe AB, Göteborg 2005.

Condition: Publisher's softback. Slight wear. The cover is slightly soiled. The rear cover and some of the last pages have a notch at the top.

Approx. unpacked weight: 330 g.

Shipping will be from Germany on November 20th. Shipping prices.

-xxxx-

Photo Gallery
Questions & Answers
Sign in to post a question

There are no questions for this listing.